这个A2O工艺内回流比控制在多少比较合适呢?

[复制链接]
查看3456 | 回复16 | 2020-10-28 21:10:01 来自手机 | 显示全部楼层 |阅读模式
分析讨论贴。A²O工艺,生活污水进水总氮20-30左右,出水要求总氮<10,内回流比控制在多少比较合适呢
回复

使用道具 举报

永远 | 2020-10-28 21:52:20 来自手机 | 显示全部楼层
内回流一般控制200-400%,控制的大小与现场的工艺运行参数有关。注意的是,无论内回流大小,都是建立在保证缺氧区反硝化反应环境的前提下
回复

使用道具 举报

小污师护水清 | 2020-10-29 07:02:23 来自手机 | 显示全部楼层
总氮的去除率=(内回流加外回流)除以(内回流+外回流+1),需要多大的去除率,就设置多大的回流量。这属于参考值,因为需要考虑硝化回流液中携带的氧气去缺氧环境的影响。我记得是这个公式,你算算验证一下,找到具体的我再补充。
回复

使用道具 举报

汪沙龙 | 2020-10-29 19:30:12 来自手机 | 显示全部楼层
永远 发表于 2020-10-28 21:52
内回流一般控制200-400%,控制的大小与现场的工艺运行参数有关。注意的是,无论内回流大小,都是建立在保 ...

如果当前缺氧区的ORP高达+200了呢。该怎么应对呢
回复

使用道具 举报

永远 | 2020-10-29 19:32:12 来自手机 | 显示全部楼层
汪沙龙 发表于 2020-10-29 19:30
如果当前缺氧区的ORP高达+200了呢。该怎么应对呢

溶解氧很高吧?降低内回流?
回复

使用道具 举报

汪沙龙 | 2020-10-29 19:32:22 来自手机 | 显示全部楼层
小污师护水清 发表于 2020-10-29 07:02
总氮的去除率=(内回流加外回流)除以(内回流+外回流+1),需要多大的去除率,就设置多大的回流量。这属于参考 ...

缺氧区的DO都在0.1-0.3左右,硝态氮也是2左右。但是出水总氮就是在10以上
回复

使用道具 举报

汪沙龙 | 2020-10-29 19:34:05 来自手机 | 显示全部楼层
永远 发表于 2020-10-29 19:32
溶解氧很高吧?降低内回流?

缺氧区的DO都在0.1-0.3左右,硝态氮也是2左右。但是出水总氮就是在10以上
回复

使用道具 举报

蒋云亮 | 2020-10-29 19:54:44 来自手机 | 显示全部楼层
汪沙龙 发表于 2020-10-29 19:32
缺氧区的DO都在0.1-0.3左右,硝态氮也是2左右。但是出水总氮就是在10以上

硝化液回流不够
回复

使用道具 举报

SARAOE | 2020-10-29 20:56:29 来自手机 | 显示全部楼层
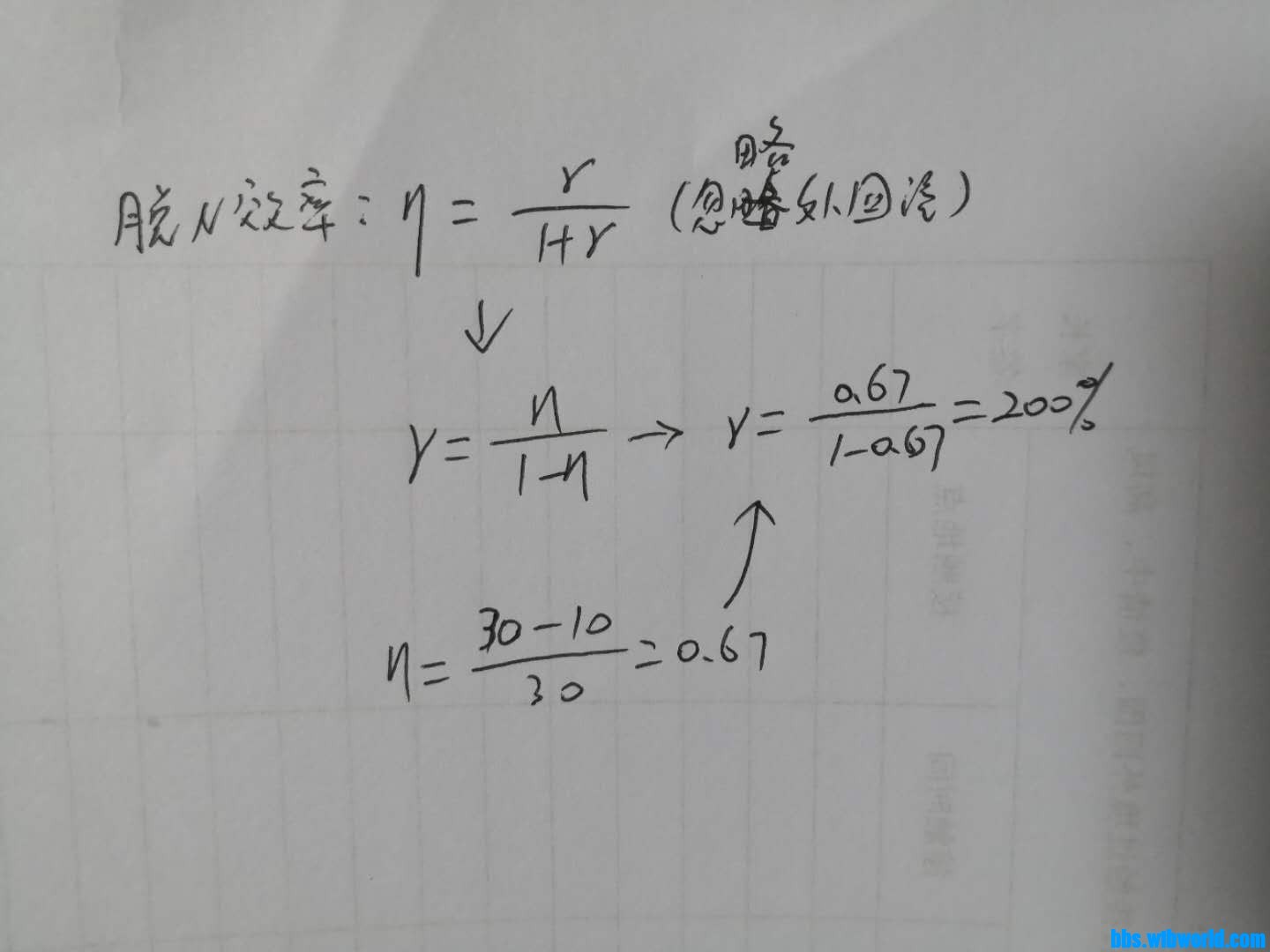
有个公式计算的,如果你长期看咱们的公众号就知道了,帮你算一下吧!结果是控制在200可以到排放标准,需要大于200%!
wechat_upload16039761855f9abbf9b76cc
互相学习,共同进步!
回复

使用道具 举报

『空』 | 2020-10-29 21:21:27 来自手机 | 显示全部楼层
咦老大的公式不错
回复

使用道具 举报

您需要登录后才可以回帖 登录 | 注册 微信登录

本版积分规则